2005年06月の低次元日記
05.06.07
あるなし
今朝、通勤時に車内でkiss-FMを聞いていたら番組紹介のCMで いきなり「あるなしクイズ」が。
朝顔 にはあって、ヒマワリ にはない。
見習い にはあって、弟子 にはない。
教頭先生 にはって、学園長 にはない。
海と山 にはあって、川と丘 にはない。
他にもヒントがあったような気がするけど いきなりだったので記憶してません。
また、ラジオゆえ口頭で考えなければいけなかったので、ちょっと悩みました。
05.06.08
英語
昨日、通勤の帰り道にまたkiss-FMを聞いていたら(最近、FMネタ多いな。)
何やら 女性のDJによるコーナーが始まりまして、曰く
洋楽の歌詞の中から これは使えるぞという英語のフレーズを紹介します、
とのこと。
「今日、ご紹介するフレーズは
アイムタイアドオブステアリングアトザサン です。」
ふむふむ、
I'm tired of staring at the sun もしくは son だな。
直訳すれば 「太陽(もしくは息子)をじっとみることには疲れた」だけど、
一体 どういう意味なのだろう?と聞耳を立てることにしました。
「まず、I'm tired of は 私は 疲れた の意味だよね」
うん、それは 分かっている。
「ここで 注目してほしいのは ステア です。」
む?何か 聞き間違えたか?
「stare は look と大体同じ意味で、見つめる、じっと見るという意味。
stare at で使います」
間違えてないじゃん、おれ。
「サンは sun。太陽の意味です。」
うん、それで?
「ですから、意味は 私は太陽を見つめるのに飽きちゃったという意味ですね。」
。。。
「じゃぁ、曲聞いてみましょう。」
あの、、、その訳の意味が分からないんですけど!
普通 太陽を飽きるまで じっと見たら 失明するよ?
いったいどういう状況を歌った歌なの?これ??
「フレーズ聞き取れたかな?」
だーかーらー、
そのフレーズのところしか聞き取れないから、どういうシチュエーションを
歌った歌詞なのか まったくわかんないよー!!!!ぐぁ!!
もやもやするーーーー!
「stare は 例えば Don't stare at me like that! のように使います」
そんなことは どうでもいい!
この曲の歌詞が全体としてどんなことを歌っていて、
どういうコンテクストで使われているのかが知りたいんじゃぁ!!!
「今日のコーナーはここまで!」
ちょっと待てーーーー!
この後、ものすごい もやもやした気分で家まで帰りましたとさ。。。
05.06.10
ユークリッド
今日、授業の準備をしていて、はて?
これってユークリッドさんはどうやって証明したんだろ?と気になりました。
気になったのは
「三角形の底辺と平行な直線は 2辺を同じ比に分ける」
ということの証明です。これって 私の頭の中ではいつも
内分比が有理数比の場合を 合同 を用いて証明してから、
一般の実数比の場合を 挟込みによって 証明する、という方法で考えていました。
気になったので、ユークリッドさんの証明(ユークリッド原論)を見に、
図書館へいってみました。
で、びっくり。ちょっと意外な方法で証明されていたのです。
なるほどー。面積をうまく使っています。
納得して帰ろうとして、あれ?面積はどう定義するの?
また 図書館へ戻って 読み返してみました。
なるほど、そういえばそうでした。ユークリッド原論には「面積という量」の
概念はないのでした。2つの図形(の面積)が等しいか、大きいか、小さいか、
という概念しかないのでした。
また、納得して研究室に戻りかけて、あれ?じゃぁ、
高さの等しい三角形の面積比が 底辺の比に等しいことをどう証明するの?
また、踵を返して、書棚へ。
読めば、読むほどなるほど、なるほど、なるほどー、という感じです。
ユークリッド原論には 長さや面積という量の概念がありません。
2つの線分が等しい、とか片方が他方より大きいという概念しかありません。
量の概念がないときに、比が等しいをどう定義するか?
そこにミソがありました。
#この辺り、ユークリッド原論は 有理数から実数をつくるという概念に迫っている気がします。
2500年も前の証明を読み、新鮮な驚きを感じる、、、
今この瞬間 証明を考えるときには 現代の私と 2500年前のユークリッドさんは
同じ視点、同じ論理、同じ思考をトレースしているのです。
なんだか 楽しい気分になりました。
05.06.14
教育
私が大学の学部生であった頃(そのなかでも1、2年生のころだから10代のころです)、
実際 あまり落した単位はないのですけども、それでもいくつかはD判定だった単位が
あり、そのうちの一つが「教育学」でした。笑
あの当時は 「教育学」なんて 今後自分の人生とあまり関係がないだろうなぁ、
と思っていましたが、なんだかんだと教育大学に勤めていて、
おもいっきり教育に関係する仕事をしています。人生何があるか分かりませんね。
最近、何か数学的にも何か面白い事柄を見たり、発見したり、新たに知ったりした際、
もちろん 自分でも めっちゃおもしろがっているのですけども、
面白ーーーいと思うと同時に、条件反射的に、この面白さをやつら(ゼミ生)に
伝えるにはどう話せばいいだろう?と常に考えている自分に気付きます。
あぁ、自分は教育に携わる人間なんだな、と思う今日このころです。
05.06.15
素数
いわゆる数論という分野においては素数の分布というのはもっとも重要なテーマ
のひとつといえるでしょう。かの有名なゼータ関数が素数の分布と緊密な関係に
あり、ゼータ関数の零点に関するリーマン予想が現在未解決なままになっている
重要な問題であることを知っているひとも結構いるんじゃないでしょうか。
しかし、まぁ、私はトポロジーが専門なんで、素数分布(がとても面白いテーマ
であることはよく知っていますが、)なんてあまり関係ないや、と思っていました。
ところが、意外や意外、今回書いた論文において、素数の分布に関する結果が
必要となりまして。笑 欲しかった結果は大まかに言って
「整数nから1.5×nの間に素数がある」
というもの。
これ、1.5を2に変えて「整数nから2×nの間に素数がある」とすると
歴史的に有名なベルトラン仮説というものになりまして、古典的に
証明されている結果になります。1.5の場合にも証明されているはずなのですが、
論文を探すと 素数と素数の間隔が 素数が大きくなるにつれてどれくらい
増大していくか、に関するとても強い結果が示されているのですが、
その結果から見て取れる事実は
「十分大きいnに対しては整数nから1.5×nの間に素数がある」
ということ。ところが、どれくらい大きいnならいいのか、は明示されてない。。。
ぐむぅ。。。多分nが2以上なら正しいんじゃないか?とは思うけど書いてない。
そう書いておいてくれよ、、、、困った。
と1週間ほど前に 図書館を探しまわって ようやくある結果を見つけました。
この結果が とても面白いので ご紹介しようというわけです。
この結果を使えば目的も無事果たせます。
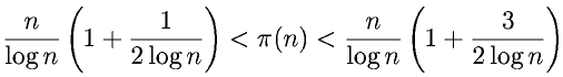
まず、自然数nに対してnを越えない素数がいくつあるか、
その個数をπ(n)と表すことにします。
このとき、つぎの式がn>58に対して成り立つというのです。

π(n)がn/log(n)で「近似される」というのはとても有名な結果ですが、
こんなにはっきりと不等式で抑え込むことができるというのは
初めて知りました。
#しかもこれが1960年代の結果だというのだから、またびっくり。
05.06.22
〜も〜もない
さて、問題。「元も子もない」というように、
「〜も〜もない」というタイプの慣用句をいくつ思いつきますか?
味も素っ気もない
痛くも痒くもない
縁もゆかりもない
影も形もない
神も仏もない
血も涙もない
根も葉もない
恥も外聞もない
身も蓋もない
身も世もない
元も子もない
油断も隙もない
欲も得もない
是も非もない
理も非もない
10個 思い出せたら大したものではないでしょうか。
05.06.27
出産 その1
今日、かみさんが出産に向けて入院しました。
とはいえ、まだ 子宮口もあまり開いていなくて、実際の出産にはまだまだ
時間がかかりそうなのですが、諸般の事情により、管理入院という意味も
あって今日から入院です。
今回、彼女が立ち会い出産を希望していて、私自身特にそれを否定する気持ちも
ないので、承諾してあります。というわけで、陣痛が強くなってきたら
連絡が入って病院に駆け付け、出産に立ち会う予定です。
さて、昨夜の会話でその立ち会い出産についての話になったのですけども、
ほら よく「感動した」って話を聞くじゃないですか。でも、きっと私は
立ち会い出産で感動するってことはないんじゃないかなぁと思うんです。
「涙がでてくるパパもいるみたいだよ」とかみさんは言いますけども。
別に感動に関して不感症というわけではないのです。どちらかといえば、
涙もろいほうで、映画等の鑑賞ではすぐに涙ぐんでしまいます。
でも、それは 主人公なり登場人物なりの行動からそのときの彼らの感情、
思考、心情を想像して、それと自分の感情をシンクロさせてしまうからだと
思うのです。そこには ドラマがあって 耐えきれない激情のもとで行動する
人々が描かれているがゆえの感動なのです。
「じゃぁ、産む私と感情をシンクロさせて泣けばいいじゃん」と
彼女は言うのですけども、そこには何か違和感があるのです。
もちろん、産むという行為の激しさは十分理解しているつもりですので、
それを励まそうと思いますし、無事産れたときには 心から労おうと
思うのですけど、それはどこか感動とは違うような気がするわけです。
産れてくるという神秘的な現象を初めて目の当たりにする、という感動は
ありそうな気がするのだけど、それは涙が出てくるような感動とは
違うような気がするのですけども。
って、まぁ事が起こってみないと分かりませんけどね。
とりあえず明日は産れなさそうなのですが、ドキドキしながら待ってみます。
05.06.28
出産 その2
先日の土日が出張でしたので、昨日の月曜日と明日の水曜日は振り替え休日を
入れています。今日は学部生のゼミの予定ですので、大学に来ています。
昨日の入院時の様子では 多分 今日はまだ産まれなさそうでした。
とはいえ、何かあれば ゼミの予定を変更して病院に行く予定です。
#いつでも出せるように、配偶者の出産時の特別休暇願を ドアに用意してあります。
いま、携帯電話に着信通知が届きました。(研究室は電波の入りがよくないです)
はて?見たこと無い電話番号。。まさか。
と思ってかけ直してみたところ、相手の方が
「はい *****の******です。(よく聞き取れない)」
「あの、濱中と申しますがたった今 携帯電話に着信がありましたのでかけ直してみたのですが」
「あぁ、ちょっとお待ち下さいね。♪♪♪保留音♪♪♪」
どきどき どきどき
「はい田中ですが、えーと、090-****-???? の方?」
「いえ、一カ所 番号がちがいます。090-****-X???です。」
「あぁ、ごめんなさいね。まちがえました」
まぎらわしいなぁ、もう。苦笑
05.06.29
出産 その3
昨日は午後から、かみさんの病室へ行きました。
陣痛誘発剤っていうのかな。弱めのものを点滴で投与していました。
また、お腹の張り具合いと胎児の心拍を測定する機械をつけていました。
彼女曰く、「機械つけてるから動きまわることもできなくて、ひま〜」
彼女の話では お腹の張りを示す数値と お腹の痛み具合いは相関が高いらしく、
ちょっと痛いなぁと思って機械を見ると数値が上がってる、とのこと。
取りつけた当初は一桁の数値だったらしいのですが、
上がったり下がったりを繰り返しながら すこしずつ高い数値になってきて、
私が着いたころは 高くて45、低くて30くらいでした。
横軸を時間、縦軸をお腹の張りとして 印刷されたグラフが次々と出力されていて、
それをみながら 「きれいなサインカーブだ」と言ったら
「いつでも数学者だね。」と笑われました。
数時間 病室に居たのですが、私が帰るころには低くて45、高くて80くらいに
なっていて、すこし痛そうでした。気を紛らわそうとおもって、
他愛もないおかしな話をしたら、「お腹痛いんだから、笑かさんといて」
といいながら クスクスケタケタ笑っていました。
「陣痛が本格的に始まったら おかしな話禁止だからね」と言われました。
日記トップへ